デフォルトでは、\(\KaTeX\) 数式のはみ出す部分を隠している.

themes/blowfish/assets/css/main.css によると次のように記載されている.
/* Fix long KaTeX equations on mobile (see https://katex.org/docs/issues.html#css-customization) */
.katex-display { overflow: auto hidden }
今回は逆に、数式が長い場合でも隠さず表示なされるようにしたい.
assets/css/custom.css を作成し、内容は以下とする.
.katex-display {
/* overflow: auto hidden */
overflow: visible;
}
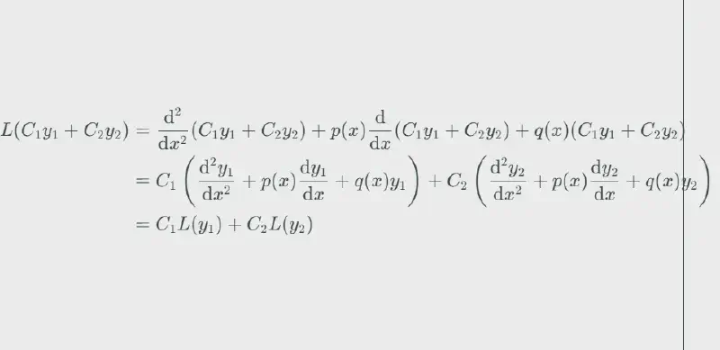
すると、数式ははみ出してもなお表示されるようになる.なお、画像中の縦線は実際には表示されない.
